Tel.: 0211/74847-24 E-Mail: handel@behr-labor.de
Wissenswertes Unternehmen Geschichte Kontakt Downloads
Zur Startseite wechseln
Mein Konto
Anmelden
oder registrieren
Übersicht Persönliches Profil Adressen Zahlungsarten Bestellungen Abonnements
0 0,00 €*
Test
Laborverbauchsmaterial & Geräte
Laborchemikalien
Labormöbel
Ionenaustauscher - Regeneration
Dip Slides
Service
Produktgruppen
Allgemeiner Laborbedarf
Gefäße
Becher
Messbecher
Kolben
Reagenzgläser
Stopfen
Reagenzglasständer
Dosen
Körbe
Transportboxen
Eimer
Kanister und Ballons
Weithalsflaschen
Weithalsfässer
Enghalsflaschen
Vierkantflaschen
Chemikalienflaschen
Spritz-, Tropfflaschen
Trichter
Zylinder
Schalen
Schmelztiegel
Werkzeuge
Löffel, Spatel
Messer, Scheren
Glasbearbeitung
Werkstattbedarf
Pinzetten
Schaufeln
Wärmebehandlung
Trocknung
Brenner
Becherzangen
Dreifüße
Schläuche
Gas
Gummi
Kunststoff
Verbinder, Klemmen, Schellen
Allgemeine Hilfsmittel
Etiketten
Dokumentation
Hebebühnen
Stativmaterial
Batterien
Zubehör für Elektrogeräte
Beutel, Folien
Fette
Rühren, Schütteln, Mischen
Magnetrührer
ohne Heizung, mit Motor
ohne Heizung, mit Induktion
ohne Heizung, netzunabhängig
mit Heizung und Motor
mit Heizung und Induktion
Zubehör, Magnetrührstäbchen
Rührwerke
Geräte
Rührkupplungen
Rühraufsätze
Schüttler
Schüttler Übersicht
Vortexer
Schüttler, horizontal kreisend
Schüttler, horizontal reziprok
Schüttler, wippend
Schüttler, taumelnd
Thermoschüttler
Überkopf-Mischer
Rollen-Mischer
Mikrotiterplattenschüttler
Liquid Handling
Volumenmessgeräte
Messzylinder
Mischzylinder
Messkolben
Pipettieren
Vollpipetten
Messpipetten
Pasteurpipetten
Serologische Pipetten
Pipettierhelfer
Pipettierbälle
Pipetten Zubehör
Kapillaren
Mikroliterpipetten
Mikroliterpipetten-Direktverdrängung
Pipettenspitzen
Reagenzreservoirs
Dosieren
Handdispenser
Flaschenaufsatz-Dispenser
Titrieren
Büretten
Digital-Büretten
Titratoren
Digital-Büretten
Pumpen
Fasspumpen
Schlauchpumpen
Dosierpumpen
Zahnradpumpen
Taumelkolbenpumpen
Mikrofluidik
Spritzenpumpen
Spritzen
Schläuche und Anschlüsse
Arbeitsschutz, Sicherheitstechnik
Augenschutz
Bügelbrillen
Vollsichtbrillen
Überbrillen
Brillen-Zubehör
Schutzschirme
Atemschutz
Hygienemasken
Halbmasken
Vollmasken
Gehörschutz
Lärmschutz
Handschuhe
Vinyl-Handschuhe
Latex-Handschuhe
Nitril-Handschuhe
Handschuhspender
Chemikalienschutzhandschuhe
Baumwollhandschuhe
Schnittschutzhandschuhe
Temperaturschutzhandschuhe
Hautschutz
Hautpflege
Schutzkleidung
Labormäntel
Schürzen
Overalls
Kopfschutz
Ärmelschoner
Schuhe
Gefahrenkennzeichnung
Sicherheitsschilder
Erste Hilfe
Augenspülflaschen
Augenduschen
Körperduschen
Verbandsmaterial
Feuerschutz
Entsorgung
Abfall-, Vernichtungsbeutel
Abfallbehälter
Chemikalienbindevliese
Sicherheitsbehälter
Transport-, Lagerbehälter
Auffangwannen
Transport
Transportwagen
Strahlenschutz
Schutzschirme
Laboreinrichtung
Stühle
Lampen
Leitern
Labormöbel
Abzüge
Sicherheitsschränke
Analytisches Messen und Testen
pH-Messung
Papier, Stäbchen
tragbare Geräte
Tisch-Geräte
pH-Elektroden
Redox-Elektroden
Ionenselektive Elektroden
Elektrodenzubehör
Pufferlösungen
Leitfähigkeitsmessung
tragbare Geräte
Tisch-Geräte
Elektroden
Lösungen
Sauerstoffmessung
Geräte
Elektroden und Zubehör
Multiparametermessung
Geräte
Waagen
Taschenwaagen
Präzisionswaagen
Analysenwaagen
Sonstige-Waagen
Feuchtebestimmer
Gewichte
Wägezubehör
Temperaturmessung
Laborthermometer
Oberflächen-, Einstechthermometer
Infrarotthermometer
Temperaturlogger
Temperatur-Feuchtelogger
Zeitmessung
Kurzzeitmessung
Stoppuhr
Uhren
Klima-/Umweltmessung
Hygrometer
spezielle Klimamessgeräte
Dichtebestimmung
Aräometer
Pyknometer
Dichtemessgeräte
Viskositätsbestimmung
Viskosimeter
Materialprüfung
Kraftmessung
Schichtdickenmessung
Härtemessung
Oberflächenanalyse
Spezielle Analysengeräte
Schmelzpunktbestimmung
Kalorimeter
Probenvorbereitung
Probennahme
Probennehmer, Gase
Probennehmer, Feststoffe
Probennehmer, Flüssigkeiten
Probenbehälter
Probentransport, -lagerung
Zerkleinern
Mörser
Mixer
Mühlen
Backenbrecher
Sieben
Siebmaschinen
Analysensiebe
Probenteiler
Laborpressen
Pressen
Dispergieren, Homogenisieren
Dispergiergeräte
Ultraschall-Prozessoren
Homogenisatoren
Destillieren, Trennen, Filtrieren
Destillation, Synthese
Kolben mit Normschliff
Bauteile für Synthese und Destillation
Planschliffgefäße
KPG-Rührer und Hülsen
Tropftrichter
Rückflusskühler
Destillationszubehör
Bauteile für die Extraktion
Gaswaschflaschen
Übergangsstücke
Normschliff-Stopfen
Normschliff Zubehör
Normschliffe zum Ansetzen
Hähne und Ventile
Laborreaktoren
Rotationsverdampfer
Geräte
Zubehör
Trennen, Zentrifugieren
Minizentrifugen
Tischzentrifugen
Zentrifugengefäße
Filtrieren
Filtrierpapiere, qualitativ
Filtrierpapiere, quantitativ
Glasfaserfilter
Membranfilter
Mikrofilterplatten
Spritzenvorsatzfilter
In-Line Filter
Filtrationsgeräte
Kälte- und Wärmetechnik
Kühlen
Kryoröhrchen
Kryoboxen
Kryoracks
Kryozubehör
Biobanking
Flüssigstickstoff-Lagerbehälter
Flüssigstickstoff-Zubehör
Dewar-Gefäße
Tiefkühl- und Ultratiefkühlgeräte
Kühl- und Gefrierschränke
Kühl- und Gefrierschränke ex geschützt
Eismaschinen
Versand-Isolierboxen
Temperieren
Wärme-Thermostate
Kälte-Thermostate
Umlauf-Umwälzkühler
Hochdynamische Temperiersysteme
Temperiertechnik-Zubehör
Heizen
Wasserbäder
Schülttelwasserbäder
Heizbäder
Heizplatten
Heizhauben
Temperaturregler
Mikrowellen
Universal-, Trocken-, Wärmeschränke
Vakuumtrockenschränke
Inkubatoren
Kühl-Inkubatoren
CO2-Inkubatoren
Schüttel-Inkubatoren
Thermoblöcke
Prüfschränke
Hochtemperaturöfen
Vakuumtechnik, Trocknung, Trockenlagerung
Wasserstrahlpumpen
Wasserstrahlpumpen
Kolbenpumpen/Kompressoren
Pumpen und Kompressoren
Membranpumpen
Pumpen
Pumpstände-Drehzahlgesteuert
Pumpstände-Ventilgesteuert
Drehschieberpumpen
Pumpen
Pumpstände
Zubehör
für Vakuumpumpen
Kühlfallen, Woulff´sche Flaschen
Vakuummessgeräte
Mess- und Regelgeräte
Exsikkatoren
Exsikkatoren-Glas
Exsikkatoren-Kunststoff
Exsikkatorschränke
Gefriertrocknung
Gefriertrockner
Optische Instrumente und Mikroskope
Optische Instrumente
Lupen
Mikroskopie
Durchlichtmikroskope
Stereomikroskope
Digitale Mikroskope und Kameras
Mikroskopie-Zubehör
Kaltlichtquellen
Zählkammer
Objektträger
Deckgläser
Objektträger-Lagerung
Färbegestelle
Refraktometer
Handrefraktometer
Tischrefraktometer
Photometer
Polarimeter
Spektralphotometer
OD-Messung
Mikroplatten-Reader und Washer
Farbmessung
Spezielle Photometer
Küvetten-Glas
Küvetten-Kunststoff
Küvetten-Zubehör
Reinigung und Sterilisation
Reinigungs- und Desinfektionsmittel
Tücher
flüssig
für Instrumente
Bildschirmreiniger
Reinigungssprays
Reinigungsutensilien
trockene Tücher
Handtücher und Spender
Ärzterollen
Tupfer / Watte
Reinigungsgeräte
Bürsten
Pinsel
Abtropfgestelle
Ultraschallreiniger
Geräte
Ultraschall-Reinigungsmittel
Reinigungs-und Desinfektionsautomaten
Geräte
Zubehör
Dampfsterilisatoren-Autoklaven
Geräte
Zubehör
Sterilverpackungen
Umwelt-, Boden-, Wasser-, Lebensmittelanalytik
Probenvorbereitung
Luftsammlung und Analyse
für Standarduntersuchungen
Spurenanalytik
Gefäße
Zubehör
Probenanalyse
Elementanalytik
Ölanalytik
Photometer
CSB
BSB
Trübung
Extraktion
Kjeldahl
Spez. Destillation
Milchanalytik
Wasseraufbereitung
Destillation
Rein - und Reinstwasser
Life Science
Genomics
PCR
DNA und RNA Isolierung
Thermocyler
PCR Werkbänke
DNA-Elektrophorese
Gel-Dokumentation
Konzentration
Elektroporation
Proteomics
ELISA
Protein-Elektrophorese
Blotting
Blot Imaging
Konzentrierung
Zellkultur
Kultivierung
Absaugflaschen
Filtration
Werkbänke
Mikrobiologie
Medien und Reagenzien
Kultivierung
Sterilisatoren und Brenner
Zellaufschluss
Disruptor
Filtration
Analyse
ATP-Detektion
Hygienemonitoring
Histologie
Einbettkassetten
Mikrotome
Skalpelle
Bestecke
Paraffinstreckbad
Zubehör und Reagenzien
Allgemeine Verbrauchsmaterialien
Mikroröhrchen
Zentrifugenröhrchen
Deep-well Platten
Objektträger
Chromatographie
Gefäße
Allgemeine Informationen Vials und Kappen
Autosampler Kompatibilitätsliste
Originalgetreue 1:1 Abbildungen der Vials
Empfehlungen zu Kappen
Vials, Septen
Zubehör
NMR/EPR
Röhrchen
Zubehör
Spritzen
Mikroliterspritzen
Einweg-Spritzen
Probenvorbereitung
SPE
Spritzenvorsatzfilter
Flüssigkeitschromatographie
HPLC Säulen
HPLC-Zubehör
Flash Säulen
Glas Säulen
Lösemittelverwendung
GC Säulen
Gaschromatographie
Gasgeneratoren
GC Säulen
GC Reagenzien
GC Verbrauchsmaterial
Dünnschichtchromatographie
DC-Platten
DC-Kammern
Nachweismethoden
Zubehör
Reinraum
Mehrwegbekleidung
Overalls, Mäntel, Jacken, Hosen
Mundschutz, Hauben, Ärmelschoner
Accessoires
Einwegbekleidung
Overalls, Mäntel, Jacken, Hosen
Mundschutz, Bartschutz, Hauben, Ärmelschoner
Überschuhe, Überstiefel, Strümpfe
Augenschutz
Reinraumbrillen
Handschuhe und Fingerlinge
Nitril-Handschuhe
Latex-Handschuhe
Polychloropren-Handschuhe
PE-, PVC-, PU-Handschuhe
Handschuhe beschichtet
Spezialhandschuhe
Unterziehhandschuhe
Fingerlinge
Hautschutz und -pflege
Fußbekleidung
Clogs und Schuhe
Stiefel
Tücher und Tupfer
Trockene Tücher
Getränkte Tücher
Swabs
Reinigungsrollen
Papier und Dokumentation
Papier, Notizbücher, Stifte
Klebebänder
Reinigungsgeräte und -hilfsmittel
Reinigungssysteme Edelstahl
Reinigungssysteme Kunststoff
Mopphalter und Moppbezüge
Einrichtung
Matten- und Bodenbeläge
Stühle und Hocker
Tische, Regale, Transportwagen, Spender
Garderoben
Sit-over Bänke
Sterilisation
Sterile Flaschen und Beutel
ESD-Produkte
ESD-Bänder
ESD-Handschuhe und -Fingerlinge
ESD-Matten und -Unterlagen
ESD-Zubehör
Hersteller
Aktionen
Flyer of the week
LLG Labware
LaborTops
Produkte A-Z
Wissenswertes
Reach
ChemVerbotsV
Reinheit in der Chemie
CAS
GHS Gefahrenpiktogramme
Hersteller
zertifizierter Köttermann Händler für die Region NRW
Beratung, Planung und Montage von Labormöbeln
Wartung und Service
Gefährdungsbeurteilung für Laboratorien und Chemikalienlagerräume
Wir regenerieren seit über 60 Jahren
behr Qualitäts-Ionenmischbettharze
behr Regenerationsservice
behropur Ionenaustauscher
behr Dip Slides
Anwendung
Sonderanfertigung
Prüfung und Kalibrierung von Messgeräten
Regionaler Abhol- und Lieferservice
Reklamationsformular
Zur Startseite wechseln
Mein Konto
Anmelden
oder registrieren
Übersicht Persönliches Profil Adressen Zahlungsarten Bestellungen Abonnements
0 0,00 €*
Tel.: 0211/74847-24
Zeige alle Kategorien Gaschromatographie Zurück
  • Gaschromatographie anzeigen
  • Gasgeneratoren
  • GC Säulen
  • GC Reagenzien
  • GC Verbrauchsmaterial
  1. Laborverbauchsmaterial & Geräte
  2. Produktgruppen
  3. Chromatographie
  4. Gaschromatographie
  • Chromatographie
    • Gefäße
      • Allgemeine Informationen Vials und Kappen
      • Autosampler Kompatibilitätsliste
      • Originalgetreue 1:1 Abbildungen der Vials
      • Empfehlungen zu Kappen
      • Vials, Septen
      • Zubehör
    • NMR/EPR
      • Röhrchen
      • Zubehör
    • Spritzen
      • Mikroliterspritzen
      • Einweg-Spritzen
    • Probenvorbereitung
      • SPE
      • Spritzenvorsatzfilter
    • Flüssigkeitschromatographie
      • HPLC Säulen
      • HPLC-Zubehör
      • Flash Säulen
      • Glas Säulen
      • Lösemittelverwendung
      • GC Säulen
    • Gaschromatographie
      • Gasgeneratoren
      • GC Säulen
      • GC Reagenzien
      • GC Verbrauchsmaterial
    • Dünnschichtchromatographie
      • DC-Platten
      • DC-Kammern
      • Nachweismethoden
      • Zubehör
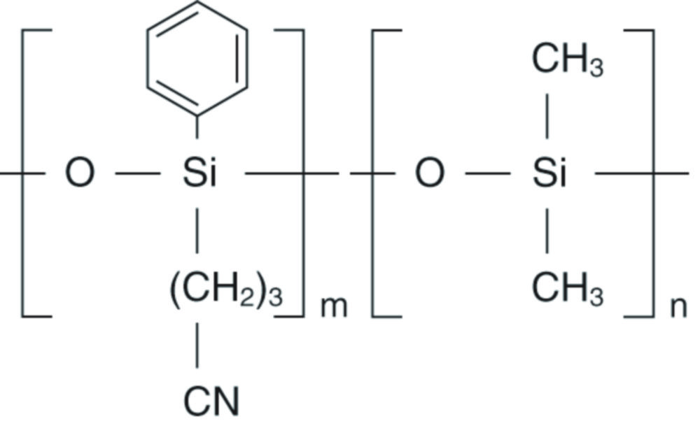
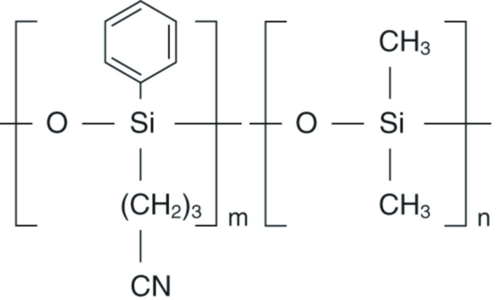
OPTIMA® 1701 Kapillarsäulen für die GC
OPTIMA® 1701 Kapillarsäulen für die GC
14 % Cyanopropyl-phenyl - 86 % Dimethylpolysiloxan mittelpolare Phasebesondere Selektivität durch hohen CyanopropylanteilReferenzsäule zur Strukturabklärung, z.B. in Kombination mit OPTIMA 5Filmdicken ≥ 1 µm für die LösemittelanalytikUSP G46ähnliche Phasen: OV-1701, DB-1701, CP™Sil 19 CB, HP-1701, Rtx-1701, SPB-1701, 007-1701, BP10, ZB-1701max. Temperatur für isotherme Arbeitsweise 280 °C, max. Temperatur für kurze Isothermen in einem Temperaturprogramm 300 °CSäulen nach Kundenspezifikation auf Anfrage erhältlich.Jede Säule wird einzeln getestet und mit Prüfzertifikat und Testchromatogramm, aber ohne Anschlussfittings oder Ferrules ausgeliefert. Alle Säulen sind an den Enden zugeschmolzen oder mit Septa verschlossen und so gegen Eindringen von Sauerstoff geschützt.Zusätzlich liegt die jeweils verwendete Testmischung bei.

0,00 €*
Details
Vorbeugende Wartung

0,00 €*
Details
Stickstoffgeneratoren Precision Nitrogen
Stickstoffgeneratoren Precision Nitrogen
Stickstoff-Generatoren für die GC. Zur sicheren kontinuierlichen Erzeugung von Stickstoff mit einem Reinheitsgrad von 99,9995%.Zur bedarfsgerechten Erzeugung von Stickstoff als Spülgas und zur Probenvorbereitung bei StandardanalysenKompaktes, modulares und stapelbares SystemKonstante und gleichmäßige Versorgung für verlässliche und reproduzierbare AnalysenIndividuell kombinierbar mit PEAK-Wasserstoff- und Nullluft-GeneratorenKeine Verunreinigungen des SystemsSehr schnelle Startzeit und schnelles Erreichen der geforderten BetriebsreinheitSysteme mit verschiedenen Durchflussmengen erhältlichGenerator für Headspace-Anforderungen erhältlich, kompatibel mit den meisten Headspace-ProbengebernSehr geringer WartungsaufwandLieferumfang: Stickstoffgenerator, 1 m PTFE-Schlauch, 1/4"-Klemmverschraubung, 1/8"-Klemmverschraubung, Netzkabel für EU, UK und USSpezifikationenReinheit:99,9995 %Gasanschluss:1/4"Zulässige Umgebungstemperatur:5 ... 35 °CAbmessungen (B x T x H):380 x 540 x 256 mmNetzanschluss:110/230 V, 50/60 HzGarantie:1 Jahr

0,00 €*
Details
Kapillarsäulen HT5
Kapillarsäulen HT5
5% Phenyl-Polycarboran-Siloxan. Ultrahochtemperatur-Säulen für simulierte Destillationsanwendungen, allgemeine Kohlenwasserstoffprofile, Pestizide, Herbizide und für GCMS-Anwendungen.

0,00 €*
Details
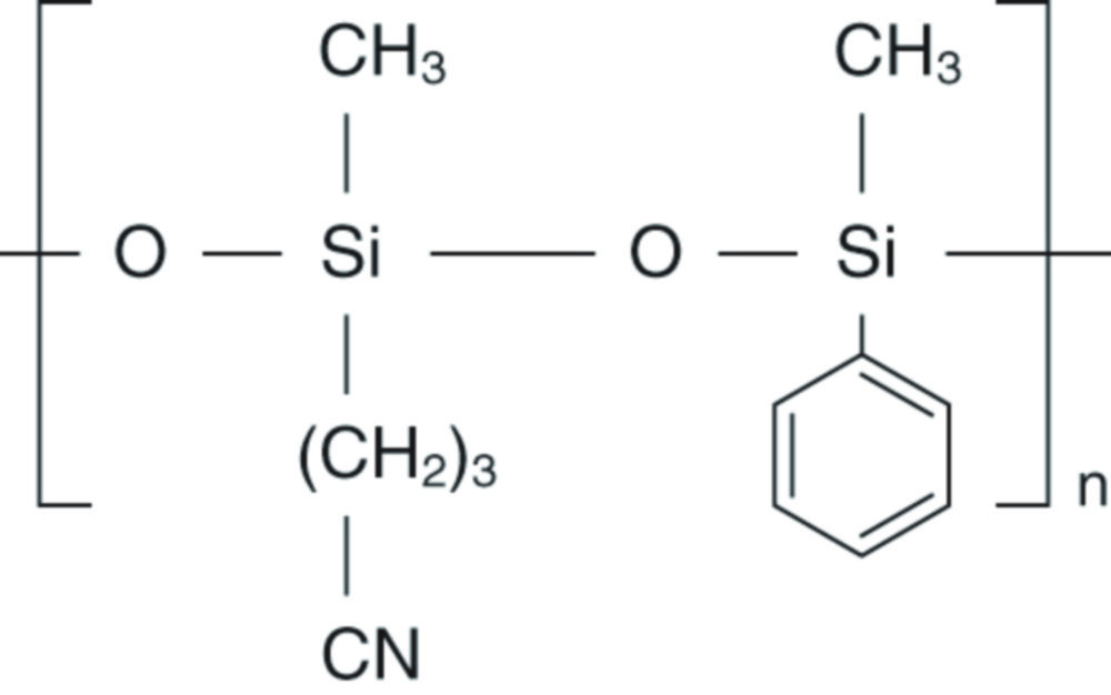
OPTIMA® 624 LB Kapillarsäulen für die GC
OPTIMA® 624 LB Kapillarsäulen für die GC
6 % Cyanopropyl-phenyl - 94 % Dimethylpolysiloxanmittelpolare PhaseUSP G43Säule mit geringem Bluten für halogenierte Kohlenwasserstoffe (LHKW), leichtsiedende Substanzen, aromatische Verbindungen, Lösemittel etc.ähnliche Phasen: HP-624, HP-VOC, DB-624, DB-VRX, SPB-624, CP-624, Rtx-624, Rtx-Volatiles, 007-624, BP624, VOCOLmax. Temperatur für isotherme Arbeitsweise 280 °C, max. Temperatur für kurze Isothermen in einem Temperaturprogramm 300 °CSäulen nach Kundenspezifikation auf Anfrage erhältlich.Jede Säule wird einzeln getestet und mit Prüfzertifikat und Testchromatogramm, aber ohne Anschlussfittings oder Ferrules ausgeliefert. Alle Säulen sind an den Enden zugeschmolzen oder mit Septa verschlossen und so gegen Eindringen von Sauerstoff geschützt.Zusätzlich liegt die jeweils verwendete Testmischung bei.

0,00 €*
Details
OPTIMA® 624 Kapillarsäulen für die GC
OPTIMA® 624 Kapillarsäulen für die GC
6 % Cyanopropyl-phenyl - 94 % Dimethylpolysiloxanmittelpolare Phaseempfohlen für die UmweltanalytikUSP G43ähnliche Phasen: HP-624, HP-VOC, DB-624, DB-VRX, SPB-624, CP-624, Rtx-624, Rtx-Volatiles, 007-624, BP624, VOCOLmax. Temperatur für isotherme Arbeitsweise 280 °C, max. Temperatur für kurze Isothermen in einem Temperaturprogramm 300 °CSäulen nach Kundenspezifikation auf Anfrage erhältlich.Jede Säule wird einzeln getestet und mit Prüfzertifikat und Testchromatogramm, aber ohne Anschlussfittings oder Ferrules ausgeliefert. Alle Säulen sind an den Enden zugeschmolzen oder mit Septa verschlossen und so gegen Eindringen von Sauerstoff geschützt.Zusätzlich liegt die jeweils verwendete Testmischung bei.

0,00 €*
Details
OPTIMA® WAX Kapillarsäulen für die GC
OPTIMA® WAX Kapillarsäulen für die GC
Polyethylenglycol 20 000 DaltonUSP G16polare Phaseempfohlen für die Lösemittelanalytik und Alkoholefür wässrige Lösungen geeignetähnliche Phasen: PERMABOND® CW 20 M, DB-Wax, Supelcowax, HP-Wax, HP-INNOWAX, Rtx-Wax, CP-Wax 52 CB, Stabilwax, 007-CW, BP20, AT-Wax, ZB-WaxFür Säulen mit 0,25 - 0,32 mm ID beträgt die max. Temperatur für isotherme Arbeitsweise 240 °C, max. Temperatur für kurze Isothermen in einem Temperaturprogramm 250 °C.Für Säulen mit 0,53 mm ID betragen die max. Temperatur 220 bzw. 240 °C.Säulen nach Kundenspezifikation auf Anfrage erhältlich.Jede Säule wird einzeln getestet und mit Prüfzertifikat und Testchromatogramm, aber ohne Anschlussfittings oder Ferrules ausgeliefert. Alle Säulen sind an den Enden zugeschmolzen oder mit Septa verschlossen und so gegen Eindringen von Sauerstoff geschützt.Zusätzlich liegt die jeweils verwendete Testmischung bei.

0,00 €*
Details
OPTIMA® 5 Kapillarsäulen für die GC
OPTIMA® 5 Kapillarsäulen für die GC
5 % Phenyl - 95 % MethylpolysiloxanUSP G27, G36 unpolare Standardphase mit großem Anwendungsbereich ähnliche Phasen: PERMABOND® SE-52, SE-54, SE-52, DB-5, HP-5, SPB-5, CP-Sil 8, Rtx-5, 007-5, BP5, MDN-5, AT-5, ZB-5 für Säulen mit 0,1 - 0,32 mm ID und Filmdicken

0,00 €*
Details
OPTIMA® 1 Kapillarsäulen für die GC
OPTIMA® 1 Kapillarsäulen für die GC
100 % Dimethylpolysiloxanunpolare Phase Trennung von Komponenten nach dem Siedepunkt ≥3 µm Filmdicke besonders für die Lösemittelanalytik.USP G1/G2/G38.Ähnliche Phasen: PERMABOND® SE30, OV-1, DB-1, SE-30, HP™1, SPB™1, CP-Sil 5 CB, Rtx-1, 007™1, BP1, MDN™1, AT-1, ZB-1, OV-101.Für Säulen mit 0,25 - 0,32 mm ID und Filmdicken

0,00 €*
Details
OPTIMA® 5 Amin GC-Kapillarsäulen zur Amintrennung
OPTIMA® 5 Amin GC-Kapillarsäulen zur Amintrennung
speziell desaktiviert für die Analytik polyfunktioneller Amine, wie z.B. Ethanolamine, amino-funktionalisierte Diole und ähnliche, in der chemischen Grundstoffindustrie verwendete Substanzgruppen, die auf standard-desaktivierten Säulen starkes Tailing zeigen; ähnliche Phasen: Rtx-5 Amine, PTA-5; USP G27 / G36; verbesserte Linearität bei Bestimmungen aktiver Komponenten im Spurenbereich: keine Aminabsorption bei aliphatischen und aromatischen Aminen selbst bei Konzentrationen von 100 pg/Peak; getestet mit der OPTIMA® Amin Testmischung, die unter anderem Diethanolamin und Propanol-pyridine enthält (diese Testmischung liegt jeder Säule bei)max. Temperatur für isotherme Arbeitsweise 300 °C, max. Temperatur für kurze Isothermen in einem Temperaturprogramm 320 °C.

0,00 €*
Details
OPTIMA® 5 MS Kapillarsäulen für die GC
OPTIMA® 5 MS Kapillarsäulen für die GC
5 % Diphenyl - 95 % DimethylpolysiloxanUnpolare Phase mit geringem Bluten, ideal für GC/MS- und ECD-Anwendungen und allgemeine Analytik im Spurenbereich, gute Desaktivierung für basische Verbindungen.Ähnliche Phasen: DB-5, HP-5 MS, Ultra-2, Equity-5, CP-Sil 8 CB low bleed/MS, Rtx-5SIL-MS, Rtx-5 MS, Rxi-5 MS, 007-5 MS, BPX5, MDN-5S, AT-5 MS, VF-5 MS. Max.Temperatur für isotherme Arbeitweise 340 °C, max. Temperatur für kurze Isothermen in einem Temperaturprogramm 360 °CSäulen nach Kundenspezifikation auf Anfrage erhältlich.Jede Säule wird einzeln getestet und mit Prüfzertifikat und Testchromatogramm, aber ohne Anschlussfittings oder Ferrules ausgeliefert. Alle Säulen sind an den Enden zugeschmolzen oder mit Septa verschlossen und so gegen Eindringen von Sauerstoff geschützt.Zusätzlich liegt die jeweils verwendete Testmischung bei.

0,00 €*
Details
OPTIMA® FFAP Kapillarsäulen für die GC
OPTIMA® FFAP Kapillarsäulen für die GC
Polyethylenglykol-2-nitroterephthalsäureesterannähernd USP G25 / G35polare Phaseempfohlen für FAME, freie Carbonsäurenähnliche Phasen: PERMABOND FFAP , DB-FFAP, HP-FFAP, CP-Sil 58 CB, 007-FFAP, CP-FFAP CB, Nukolfür Säulen mit 0,10 - 0,32 mm ID ist die max. Temperatur für isotherme Arbeitsweise 250 °C, die max. Temperatur für kurze Isothermen in einem Temperaturprogramm ist 260 °Cfür Säulen mit 0,53 mm ID betragen die max. Temperaturen 220 bzw. 240 °CSäulen nach Kundenspezifikation auf Anfrage.Jede Säule wird einzeln getestet und mit Prüfzertifikat und Testchromatogramm, aber ohne Anschlussfittings oder Ferrules ausgeliefert. Alle Säulen sind an den Enden zugeschmolzen oder mit Septa verschlossen und so gegen Eindringen von Sauerstoff geschützt.Zusätzlich liegt die jeweils verwendete Testmischung bei.

0,00 €*
Details
OPTIMA® 225 Kapillarsäulen für die GC
OPTIMA® 225 Kapillarsäulen für die GC
50% Cyanopropylmethyl - 50% Phenylmethylpolysiloxanmittelpolare Phaseempfohlen für die FettsäureanalytikUSP G7 / G19ähnliche Phasen: DB-225, HP-225, OV-225, Rtx-225, CP-Sil 43, 007-225, BP225max. Temperatur für isotherme Arbeitsweise 260 °C, max. Temperatur für kurze Isothermen in einem Temperaturprogramm 280 °CSäulen nach Kundenspezifikation auf Anfrage erhältlich.Jede Säule wird einzeln getestet und mit Prüfzertifikat und Testchromatogramm, aber ohne Anschlussfittings oder Ferrules ausgeliefert. Alle Säulen sind an den Enden zugeschmolzen oder mit Septa verschlossen und so gegen Eindringen von Sauerstoff geschützt.Zusätzlich liegt die jeweils verwendete Testmischung bei.

0,00 €*
Details
Acylierungsmittel - Anhydride
Zur Verbesserung der Flüchtigkeit, Erhöhung der thermischen Stabilität oder Erzielen einer niedrigeren Nachweisgrenze in der GC Voraussetzung: quantitative, schnelle und reproduzierbare Bildung nur eines Derivates durch Derivatisierung eingeführte Halogenatome (z.B. Trifluoracetate) ermöglichen eine spezifische Detektion (ECD) mit dem Vorteil höherer Empfindlichkeit Elutionsreihenfolgen und Fragmentierungsmuster in der MS können durch gezielte Derivatisierung beeinflusst werden.Wir liefern Reagenzien zur Silylierung - Alkylierung (Methylierung) AcylierungDie Acylierung mit fluorierten Säureanhydriden eignet sich für Alkohole, Phenole, Carbonsäuren, Amine, Aminosäuren und Steroide unter Bildung von flüchtigen, stabilen Derivaten sowohl für FID als auch für ECD Detektion.Nebenprodukt der Acylierung mit Anhydriden: entsprechende Säure.Überschüssiges Reagenz und entstandene Säure sind zu entfernen.Heptafluorbuttersäureanhydrid (HFBA)M.G. 410,06 · Kp 106 - 107 °C (760 mm Hg),C3F7 - CO - O - CO - C3F7Dichte d20°/4° = 1,665

0,00 €*
Details
OPTIMA® 17 Kapillarsäulen für die GC
OPTIMA® 17 Kapillarsäulen für die GC
Phenylmethylpolysiloxan (50 % Phenyl)mittelpolare Phasebevorzugte Anwendungsgebiete: Steroide, Pestizide, DrogenanalytikUSP G3ähnliche Phasen: OV-17, DB-17, HP-50+, HP-17, SPB-50, SP-2250, Rtx-50, CP-Sil 24 CB, 007-17, ZB-50max. Temperatur für isotherme Arbeitsweise 320 °C, max. Temperatur für kurze Isothermen in einem Temperaturprogramm 340 °Cfür Säulen mit 0,53 mm ID betragen die max. Temperaturen 300 bzw. 320 °CAußer dem hier aufgeführten Standardprogramm liefern wir gerne auch Säulen nach Kundenspezifikation.

0,00 €*
Details
OPTIMA® 5 MS Accent Kapillarsäulen für die GC
OPTIMA® 5 MS Accent Kapillarsäulen für die GC
Silarylenphase Mit Polarität ähnlich einer 5 % Diphenyl - 95 % Dimethylpolysiloxan-PhaseGeringstes Säulenbluten, unpolare Phase, ideal für Ion-Trap- und Quadrupol-MS-DetektorenZum Entfernen von Verunreinigungen mit Lösemittel spülbarAnwendungsgebiete: Allround-Phase für die Umweltanalytik, Spurenanalytik, EPA-Methoden, Pestizide, PCB, Lebensmittel- und DrogenanalytikUSP G27 /G36ähnliche Phasen: DB-5 MS, HP-5 MS, Ultra-2, Equity-5, CP-Sil 8 CB low bleed/MS, Rtx-5SIL-MS, Rtx-5 MS, 007-5 MS, BPX5, MDN-5S, AT-5 MS, VF-5 MSMax. Temperatur für isotherme Arbeitsweise 340 °C,Max. Temperatur für kurze Isothermen in einem Temperaturprogramm 360 °Cfür Säulen mit Filmdicken > 5,5 mm betragen die max. Temperaturen 320 bzw. 340 °CJede Säule wird einzeln getestet und mit Prüfzertifikat und Testchromatogramm, aber ohne Anschlussfittings oder Ferrules ausgeliefert. Alle Säulen sind an den Enden zugeschmolzen oder mit Septa verschlossen und so gegen Eindringen von Sauerstoff geschützt.Zusätzlich liegt die jeweils verwendete Testmischung bei.

0,00 €*
Details
OPTIMA® 1 MS Accent Kapillarsäulen für die GC
OPTIMA® 1 MS Accent Kapillarsäulen für die GC
100 % Dimethylpolysiloxanunpolare Phase mit extrem geringem Bluten, ideal für Ion-Trap- und Quadrupol-MS-Detektorenerhöhte Empfindlichkeit durch excellentes Signal-Rauschverhältnisgute Desaktivierung für basische Verbindungenzur Entfernung von Verunreinigungen mit Lösemittel spülbarAnwendungsgebiete: Allround-Phase für die Umweltanalytik, Spurenanalytik, EPA-Methoden, Pestizide, PCB, Lebensmittel- und DrogenanalytikUSP G1 / G2 / G38ähnliche Phasen: Ultra-1, DB-1 MS, HP-1 MS, Rtx-1 MS, Equity™1, AT-1 MS, VF-1 MS, CP-Sil 5 CB MSmax. Temperatur für isotherme Arbeitsweise 340 °C, max. Temperatur für kurze Isothermen in einem Temperaturprogramm 360 °CJede Säule wird einzeln getestet und mit Prüfzertifikat und Testchromatogramm, aber ohne Anschlussfittings oder Ferrules ausgeliefert. Alle Säulen sind an den Enden zugeschmolzen oder mit Septa verschlossen und so gegen Eindringen von Sauerstoff geschützt.Zusätzlich liegt die jeweils verwendete Testmischung bei.

0,00 €*
Details
GC-Kapillarsäulen HYDRODEX β-TBDAC
GC-Kapillarsäulen HYDRODEX β-TBDAC
HYDRODEX Cyclodextrinphasen zur EnantiomerentrennungHeptakis-(2,3-di-O-acetyl-6-O-t-butyldimethyl-silyl)-β-cyclodextrin. Phase verdünnt mit einem optimierten Polysiloxan empfohlen für Alkohole, Ester, Ketone, Aldehyde, δ-Lactone.Max. Temperatur für isotherme Arbeitsweise 220 °CMax. Temperatur für kurze Isothermen in einem Temperaturprogramm 240 °C

0,00 €*
Details
GC-Kapillarsäulen HYDRODEX β-6TBDM
GC-Kapillarsäulen HYDRODEX β-6TBDM
HYDRODEX Cyclodextrinphasen zur EnantiomerentrennungHeptakis-(2,3-di-O-methyl-6-O-t-butyldimethyl-silyl)-β-cyclodextrin. Phase verdünnt mit einem optimierten Polysiloxan empfohlen für γ-Lactone, Cyclopentanone, Terpene, Ester, Tartrate.Max. Temperatur für isotherme Arbeitsweise 230 °CMax. Temperatur für kurze Isothermen in einem Temperaturprogramm 250 °C

0,00 €*
Details
GC Kapillarsäulen LIPODEX® E
GC Kapillarsäulen LIPODEX® E
LIPODEX® Cyclodextrinphasen zur EnantiomerentrennungBasismaterial: cyclisches Oligosaccharid aus acht α-1,4-verknüpften Glucoseeinheiten (y-Cyclodextrin) regioselektive Alkylierung und/oder Acylierung der Hydroxylgruppen ergibt lipophile Phasen unterschiedlicher Enantioselektivität, die sich gut zur GC-Enantiomeranalytik eignen; wichtiger Vorteil: viele Verbindungen können ohne Derivatisierung analysiert werden (allerdings kann die Enantioselektivität für bestimmte Substanzen durch Bildung verschiedener Derivate positiv beeinflusst werden)Octakis-(2,6-di-O-pentyl-3-O-butyryl)-γ-cyclodextrin. Empfohlen für α-Aminosäuren, α- und β-Hydroxycarbonsäureester, Alkohole (TFA), Diole (TFA), Ketone, Pheromone (cyclische Acetale), Amine, Alkylhalogenide, Lactone.Max. Temperatur für isotherme Arbeitsweise 200 °CMax. Temperatur für kurze Isothermen in einem Temperaturprogramm 220 °C

0,00 €*
Details
Derivatisierungsmethoden-Entwicklungskit
Zur Verbesserung der Flüchtigkeit, Erhöhung der thermischen Stabilität oder Erzielen einer niedrigeren Nachweisgrenze in der GC Voraussetzung: quantitative, schnelle und reproduzierbare Bildung nur eines Derivates durch Derivatisierung eingeführte Halogenatome (z.B. Trifluoracetate) ermöglichen eine spezifische Detektion (ECD) mit dem Vorteil höherer Empfindlichkeit Elutionsreihenfolgen und Fragmentierungsmuster in der MS können durch gezielte Derivatisierung beeinflusst werden.Wir liefern Reagenzien zur Silylierung - Alkylierung (Methylierung) AcylierungWelche Art von Derivatisierungsreaktion ist für Ihre Probe am besten geeignet (Alkylierung, Silylierung oder Acylierung)? Testkit zur Ermittlung der optimalen Derivatisierung.

0,00 €*
Details
Alkylierungs-Kit
Zur Verbesserung der Flüchtigkeit, Erhöhung der thermischen Stabilität oder Erzielen einer niedrigeren Nachweisgrenze in der GC Voraussetzung: quantitative, schnelle und reproduzierbare Bildung nur eines Derivates durch Derivatisierung eingeführte Halogenatome (z.B. Trifluoracetate) ermöglichen eine spezifische Detektion (ECD) mit dem Vorteil höherer Empfindlichkeit Elutionsreihenfolgen und Fragmentierungsmuster in der MS können durch gezielte Derivatisierung beeinflusst werden.Wir liefern Reagenzien zur Silylierung - Alkylierung (Methylierung) AcylierungWelches Methylierungsmittel ist für Ihre Probe am besten geeignet?Test-Kit zur Ermittlung der optimalen Akylierung.

0,00 €*
Details
Alkylierungsmittel - Trimethylsulfoniumhydroxid
Alkylierungsmittel - Trimethylsulfoniumhydroxid
Zur Verbesserung der Flüchtigkeit, Erhöhung der thermischen Stabilität oder Erzielen einer niedrigeren Nachweisgrenze in der GC Voraussetzung: quantitative, schnelle und reproduzierbare Bildung nur eines Derivates durch Derivatisierung eingeführte Halogenatome (z.B. Trifluoracetate) ermöglichen eine spezifische Detektion (ECD) mit dem Vorteil höherer Empfindlichkeit Elutionsreihenfolgen und Fragmentierungsmuster in der MS können durch gezielte Derivatisierung beeinflusst werden.Wir liefern Reagenzien zur Silylierung - Alkylierung (Methylierung) AcylierungTMSH (0,2 M in Methanol) M.G. 94.06

0,00 €*
Details
Silylierungsmittel - MSTFA
Silylierungsmittel - MSTFA
Zur Verbesserung der Flüchtigkeit, Erhöhung der thermischen Stabilität oder Erzielen einer niedrigeren Nachweisgrenze in der GC Voraussetzung: quantitative, schnelle und reproduzierbare Bildung nur eines Derivates durch Derivatisierung eingeführte Halogenatome (z.B. Trifluoracetate) ermöglichen eine spezifische Detektion (ECD) mit dem Vorteil höherer Empfindlichkeit Elutionsreihenfolgen und Fragmentierungsmuster in der MS können durch gezielte Derivatisierung beeinflusst werden.Wir liefern Reagenzien zur Silylierung - Alkylierung (Methylierung) AcylierungMSTFA, N-Methyl-N-trimethylsilyl-trifluoracetamidM.G. 199,1 · Kp 70 °C (75 mm Hg) · Dichte d20°/4° = 1.11Das flüchtigste aller Trimethylsilylamide.Sehr starker TMS-Donator, der selbst bei tagelangen Mess-Serien die Brennkammer des FID nicht merklich verschmutzt.Die guten Lösungseigenschaften können durch Zugabe protischer Lösemittel im Unterschuss (z.B. TFA bei extrem polaren Verbindungen wie Hydrochloriden) oder Pyridin (z.B. für Kohlenhydrate) gesteigert werden.Derivatisierungsmittel sind aufgrund ihrer Bestimmung sehr reaktive Substanzen. Sie sollten daher kühl und unter Feuchtigkeitsausschluss gelagert werden.Die Derivatisierungsmittel werden in Probengläsern mit Bördelkappen zur Entnahme mit der Injektionsspritze geliefert. Probengläser mit durchstochener Dichtung sind nur begrenzt haltbar und sollten schnellstens verbraucht werden.

0,00 €*
Details
Kontakt
Tel:0211 74847
E-Mail:XXX@behr-labor.de
behr Labor-Technik GmbH
Spangerstraße 8
40599 Düsseldorf
Über uns
  • Unternehmen
  • Geschichte
Themenbereiche
  • Laborverbrauchsmaterial
  • Labormöbel
  • Wissenswertes
  • Service
  • Dip Slides
  • Ionenaustauscher
  • Laborchemikalien
Rechtliches
  • Zahlung und Versand
  • Datenschutz
  • AGB
  • Impressum
Qualitätsmanagement
Bureau Veritas
Top Marken
IKA
eppendorf
DURAN WHEATON KIMBLE
Thermo
BRAND
memmert
Gesellschafter von
LLG
IDL
Zahlungsmethoden
Vorkasse
PayPal
Credit card
SOFORT Banking
Rechnung
Versandmethoden
Standard Paket
Standard
Händlerbund

* Alle Preise exkl. gesetzl. Mehrwertsteuer zzgl. Versandkosten und ggf. Nachnahmegebühren, wenn nicht anders angegeben.

*Unser Angebot richtet sich ausschließlich an gewerbliche Nutzer und Händler. Ein Verkauf an Verbraucher gem. § 13 BGB wird ausgeschlossen.

© behr Labor-Technik GmbH 2022

© Copyright 2026 | Shopware Theme by RH-Webdesign
Diese Website verwendet Cookies, um eine bestmögliche Erfahrung bieten zu können. Mehr Informationen ...